


寧經理:18853131830,15553139909
李經理:18615581723
銷售一部:0531-88760590
銷售二部:0531-88786527
工廠地址: 濟南高新區(qū)孫村鎮(zhèn)大正路與世紀大道交叉口東50米
銷售地址:山東省濟南市高新區(qū)聯合財富廣場1號樓907
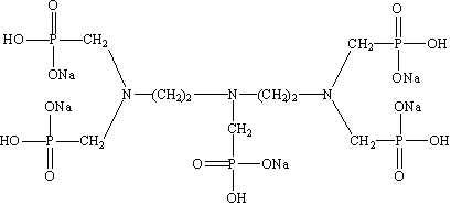
Diethylene Triamine Penta (Methylene Phosphonic Acid) Pentasodium salt
CAS No. 68155-78-2
分子式 C9H23O15N3P5Na5 相對分子質量:683.2
結構式


DTPMP·Na5是一種中性產品,DTPMP·Na5無毒,固體DTPMP·Na5極易吸潮易溶于水,在水處理中用作循環(huán)冷卻水和鍋爐水的阻垢緩蝕劑。
DTPMP·Na5可用做過氧化物穩(wěn)定劑、紡織印染用螯合劑、顏料的分散劑、化肥中微量元素攜帶劑、混凝土添加劑。此外,在造紙、電鍍和化妝品等方面也得到了廣泛應用。
項 目 | 指 標 |
外 觀 | 琥珀色透明液體 |
活性組分(以DTPMPA計)/% | 24.0~26.0 |
活性組份(以DTPMP·Na5計)/% | 28.5~31.0 |
總磷(以PO43-計)/% | 19.7~21.7 |
pH值(1%水溶液) | 6.0~8.0 |
密度(20℃)/g·cm-3 | ≥1.25 |
氯化物 (以Cl-計) /% | ≤5.0 |
Fe含量(以Fe計) /mg·L-1 | ≤20.0 |
DTPMP·Na5液體用料塑桶包裝,每桶25kg或250kg,貯于室內陰涼干燥處,防潮,貯存期為十個月。
DTPMP·Na5,操作時注意勞動保護,應避免與皮膚、眼睛等接觸,接觸后用大量清水沖洗。
致力于優(yōu)化每個水處理項目,打造中國環(huán)保行業(yè)品牌企業(yè)
保護環(huán)境是我們每個人的責任和義務